Megan DethierPeople often tell us that spending a quarter or a summer at Friday Harbor Labs as a student or intern was “life changing” or “transformative” for them.  Not uncommonly students who plan to head for a different career such as medical school come to FHL, find a new passion, and decide to study some facet of marine science instead.  Jack Litle writes here about an unusually striking transformation, from musician to marine scientist, entertainer to ecophysiologist.  He now spends time tromping around False Bay and tending embryos in the lab: both time-honored FHL traditions!  The seaslugs and egg masses Jack discusses provide remarkable model systems which over the years have been the intellectual focus of many FHL-based investigators including Richard and Megumi Strathmann, Fu-Shiang Chia, Bob Podolsky, Sarah Cohen, Yasmin von Dassow, Glenys Gibson, and others.

Best,
Dr. Megan Dethier
FHL Director

“Tuning” in to Support the Next Generation in a Warming World

by Jack Litle

Jack is a PhD Candidate in UW’s Department of Biology, working in the Carrington Lab. He is originally from the Boston area, but moved to Southern California in 2014 to get his Bachelor’s degree from Pomona College (2018), where he studied herbivory in coastal sage scrub ecosystems. Now, he studies thermal adaptation in marine invertebrates that have many different stages in their life cycle. He splits his year between UW’s main campus in Seattle and Friday Harbor Laboratories. His work at FHL has been funded by the Charles Lambert Memorial Endowment, the Richard and Megumi Strathmann Endowed Fellowship, the Riddiford-Truman Award, National Science Foundation Award No. 2050273 (Awarded to E. Carrington, M. Reidenbach & M. Nishizaki), and the National Science Foundation’s Graduate Research Fellowship.

The passing of time is a weird phenomenon, isn’t it?  I can vividly remember first coming to Friday Harbor Labs in 2017 as a Blinks-REU-BEACON fellow.  I was a wide-eyed 20-year-old college student taking in the views on that now familiar but still spectacular ferry ride from Anacortes.  I thought it’d be a fun 8-week trip to explore a burgeoning interest in science.  As it turns out, I found a sense of belonging that summer at FHL that would alter my path in life.

Before coming to the Labs, I was heavily focused on developing my career as a musician, having moved to the heart of the music industry in Los Angeles.  Now, I’m writing as a third year PhD Candidate at UW Biology studying the impacts of climate warming on coastal animals.  Had I never come to FHL, at this moment I’d probably be loading my drum set out of a van into a smoky club with questionable sanitation standards.  I still love doing that, but it’s pretty different from what my main focus is now.

This got me thinking about disparate phases of my life and transitioning between them.  From music to science all because of FHL.  Is there a parallel in nature that I could look to?  For some 80% of the world’s animal life, there is (Wilbur, 1980).  Enter the aptly-named complex life cycle, in which an organism transitions over time from one discrete life stage to another – think caterpillar to pupa to butterfly.  Each stage can 1) look completely different, 2) have its own unique sensitivity to stressful aspects of its environment like warming temperatures, and 3) occupy very different habitats (Pörtner and Farrell, 2008).  It’s almost like living many lives in one.

Fig. 1: Haminoea vesicula egg deposition and embryonic development inside gelatinous masses.
Fig. 1: Haminoea vesicula egg deposition and embryonic development inside gelatinous masses.

If we are going to make accurate predictions about how climate warming will affect organisms, how do we account for the ~80% of all animals that transition through several stages during their lives?  There’s a growing body of evidence that the small, early life stages in complex life cycles could be more sensitive to the effects of climate change than their adult counterparts (Kingsolver et al. 2011, Pandori & Sorte, 2019).  Humble beginnings.  In starting to fill in pieces of the puzzle, I am interested in how temperature affects these sensitive early stages in animals.  But which creatures should I be looking at to address my question?

On one of my first trips out to False Bay on San Juan Island, I was immediately struck by the highlighter-yellow blobs of gel strewn around the sandflat at low tide by the thousands.  Each of those gelatinous ribbons contains thousands of eggs, deposited by an adult Haminoea vesicula snail – endearingly known as the bubble snail for its thin, bubble-like shell (Figure 1).

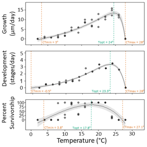
Fig. 2: From top to bottom: how growth, development, and survivorship are influenced by temperature. Solid curves through the points represent model fits and gray ribbons represent uncertainty around the model fits. “Topt” is the statistically determined temperature at which performance is maximized. “CTmin” and “CTmax” are the minimum and maximum temperatures, respectively, at which embryos fail to grow, develop, and/or survive.
Fig. 2: From top to bottom: how growth, development, and survivorship are influenced by temperature. Solid curves through the points represent model fits and gray ribbons represent uncertainty around the model fits. “Topt” is the statistically determined temperature at which performance is maximized.  “CTmin” and “CTmax” are the minimum and maximum temperatures, respectively, at which embryos fail to grow, develop, and/or survive.

Ok, so the parents just deposit their babies in a neon blob of Jell-O and then leave?  That doesn’t seem like good parenting.  I became especially interested in the temperature tolerances of the embryos that develop inside the yellow gel, as they’re all at the mercy of their rapidly changing environment, unable to move and sequentially submerged in chilly water at high tide and exposed to bake in the sun at low tide.

This led me to a series of more specific, scientifically testable questions:

  1. What kinds of temperature swings are these embryos really enduring in nature?
  2. How does this range of temperatures affect the internal life processes that govern growth, development, and ultimately survival to the next stage of their life cycle?
  3. Temperature patterns vary across seasonal and tidal rhythms (as a drummer, I have to use the rhythm analogy).  How does the parents’ egg-laying timing affect the fate of the next generation?  I created a predictive mathematical model to simulate what would happen to embryos if adults were to deposit their eggs at different times.  Luckily, the locations where adults deposit embryos are highly similar temperature-wise, so I chose to only worry about the “when” rather than the “where” part here.

I’m excited about my findings so far.  Embryos experience temperature swings in excess of 18°C (32°F) over mere hours each day in the pools that they get deposited in!  And remember, they don’t have the ability to regulate their body temperatures to the same extent that we do.  They’re “cold-blooded” so when it’s too cold or hot outside, all of their internal processes are subjected to stressful temperatures.

Secondly, I show how the embryos’ ability to grow, develop, and survive is affected by temperature.  This is a key piece of the puzzle in being able to predict responses to climate warming, and it took 13,770 measurements of 270 different embryos to get there (Figure 2)!  The best temperature for embryos’ survival is about 6°C (11°F) colder than the temperature that is best for their ability to grow and develop quickly and robustly.  That’s a pretty weird conflict of interest.

Fig. 3: Output of the predictive mathematical model. This shows how many days it would take an embryo to hatch if parents deposited it at a certain time. Lower days to hatch is better – the embryos that grow quickly also happen to grow to a larger size (not shown in this graph), so quicker development really is better here. The skulls represent times when embryos that are deposited in those windows would eventually die from temperature stress.
Fig. 3: Output of the predictive mathematical model. This shows how many days it would take an embryo to hatch if parents deposited it at a certain time. Lower days to hatch is better – the embryos that grow quickly also happen to grow to a larger size (not shown in this graph), so quicker development really is better here. The skulls represent times when embryos that are deposited in those windows would eventually die from temperature stress.

I’ve also uncovered an unorthodox aspect of parenting from my mathematical model: the fate of the next generation really depends on how parents time their egg laying (Figure 3).  There are high-risk/high-reward blocks of time to deposit eggs during the hot summer months, when long low tides fall in the midday sun.  During these times, embryos grow and develop quickly and to a large size, but some (and sometimes all) die from temperature stress.  By contrast, there are low-risk/low-reward blocks of time during cooler months and shorter low tides that fall off of peak sunshine hours.  When adults deposit eggs during these times, most of the embryos survive, but they grow and develop slowly and to a smaller size.

Many animals alter their behavior to stay within their own temperature tolerance range (Kearney et al. 2009).  Parents “tuning” their egg-laying timing to the temperature tolerance of the next generation is a newer idea.  Even though I’ve largely moved on from my musical pursuits, I guess I can’t escape the concept of tuning!

On San Juan Island, it’s not just the bubble snails in False Bay that set up the younger generations for success.  One of the best things about FHL is that those of us who visit in our early life stages often get significant academic “parental” support from scientists who’ve advanced farther in the complex (and I promise, it is truly complex) academic life cycle.  My scientific outlook and interests have been heavily influenced by academic “parental” support from lots of FHL scientists.  I’ve been especially supported by my excellent PhD advisor and renowned expert in how coastal organisms deal with stressful conditions, Dr. Emily Carrington (Professor, UW Department of Biology, FHL scientist since 2005).  I’ve also been mentored by bona fide complex life cycle savant Dr. Richard Strathmann (Professor Emeritus, UW Department of Biology and Resident Associate Director of FHL 1973-2008).  I guess our own lives as scientists at FHL strangely parallel the bubble snails’ in that way.

I hope that when I advance in the complex academic life cycle, I can come back to FHL and support the next generation of early life stage scientists.

Please feel free to reach out to Jack by email at litlej@uw.edu or Twitter (@JackWLitle) if you have any questions about this ongoing work.

 

<b>Top</b>: Richard Strathmann and Jack set up with microscopes at FHL’s open house in May 2022 to show visitors about plankton, including some larval life stages that are part of complex life cycles. <b>Bottom</b>: Jack and his PhD advisor Emily Carrington, out for a fun kayak paddle to Turn Island!
Top: Richard Strathmann and Jack set up with microscopes at FHL’s open house in May 2022 to show visitors about plankton, including some larval life stages that are part of complex life cycles.
Bottom: Jack and his PhD advisor Emily Carrington, out for a fun kayak paddle to Turn Island!

References

Pandori L.L. and C.J. Sorte.  2019.  The weakest link: sensitivity to climate extremes across life stages of marine invertebrates.  Oikos: 128(5), 621-629.

Pörtner H.O. and A.P. Farrell.  2008.  Physiology and climate change.  Science: 322(5902), 690-692.

Kearney M., R. Shine, and W.P. Porter.  2009.  The potential for behavioral thermoregulation to buffer “cold-blooded” animals against climate warming.  Proceedings of the National Academy of Sciences: 106(10), 3835-3840.

Kingsolver J.G., H.A. Woods, L.B. Buckley, K.A. Potter, H.J. MacLean, and J.K. Higgins.  2011.  Complex life cycles and the responses of insects to climate change.  Integrative and Comparative Biology: 51(5), 719-732.

Wilbur H.M.  1980.  Complex life cycles. Annual review of Ecology and Systematics: 11, 67-93.